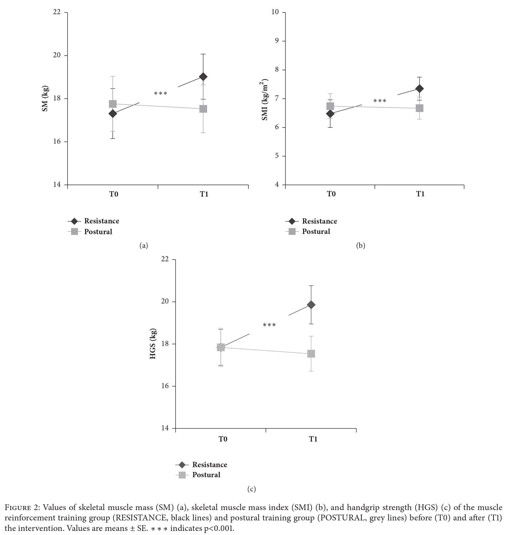
Si prevede che la popolazione anziana nel mondo, aumenterà di tre volte in 50 anni, da 600 milioni di persone nel 2000 a oltre due miliardi nel 2050. Questo aumento prevede l’attuazione di un intervento, volto a preservare l’indipendenza funzionale di queste persone e la qualità della vita. Ogni cambiamento associato all’invecchiamento, è accompagnato da una perdita della massa muscolare e della forza, noto col nome di sarcopenia. Questa condizione, che colpisce principalmente le donne, è associata ad atrofia delle fibre muscolari di tipo II a contrazione rapida e alla sostituzione dei tessuti funzionali da parte dei tessuti adiposi e fibrotici, che vanno a ridurre la sintesi proteica, portando così a una riduzione dell’efficienza muscolare. Lo stato di salute compromesso, è strettamente correlato al rischio di esiti avversi quali disabilità fisica, scarsa qualità della vita, ridotta capacità di svolgere attività quotidiane e, soprattutto, rischio di cadute e fratture, che rappresentano la principali cause nella perdita di fiducia e ritiro sociale, con rischio di incorrere in depressione. La diminuzione della forza muscolare potrebbe essere la causa principale dell’instabilità posturale, e riduzione della capacità degli anziani di reagire adeguatamente a stimoli imprevisti ambientali, è un fattore di rischio intrinseco importante per la caduta. È stato dimostrato che l’esercizio fisico riduce l’incidenza delle cadute dal 13% al 40%, portando ad un ampio consenso tra gli esperti, che agli anziani dovrebbero svolgere esercizi di equilibrio ma soprattutto di forza. Le evidenze supportano l’idea che un’attività fisica regolare, in combinazione con un adeguato supporto nutrizionale, sia la strategia più efficace per migliorare la sarcopenia e la funzione fisica e prevenire la disabilità. 4 sono i tipi di esercizi raccomandati nell’attività fisica adattata (APA) per gli anziani: esercizi aerobici, di forza progressiva, di flessibilità ed equilibrio. Lo scopo di questo studio è stato quello di valutare gli effetti sulla massa muscolare, sulla forza muscolare e sull’equilibrio, di due tipi di programmi di attività fisica adattata (APA) in 9 mesi, indagando sull’allenamento di forza e posturale, in donne anziane con sarcopenia moderata. I risultati dimostrano che il gruppo che ha svolto l’esercizio di forza, ha ottenuto miglioramenti significativi nella massa e nella funzione muscolare dopo il programma di rinforzo muscolare proposto, mentre nessuna differenza significativa è stata riscontrata nel gruppo che eseguiva esercizi “puramente” posturali. Inoltre, il programma di rinforzo muscolare è stato in grado di indurre miglioramenti significativi nei parametri di equilibrio statico, mentre nessuna differenza significativa in questi valori è stata trovata nel gruppo degli esercizi posturali. Nel complesso, il programma di rinforzo muscolare proposto è stato in grado di indurre effetti positivi sia sulla sarcopenia che sui parametri posturali indirettamente. La diminuzione della forza muscolare, presente nella sarcopenia, potrebbe anche essere una causa importante dell’instabilità posturale e, pertanto, rappresenta un fattore di rischio intrinseco per la caduta. Una recente revisione sistematica ha evidenziato come l’esecizio fisico sia benefico anche per la composizione corporea oltre che per la forza muscolare. Si è anche dimostrato che, il programma di rinforzo muscolare ha aumentato in modo significativo la percentule di massa magra assoluta, la massa muscolare scheletrica (SM) e l’indice di massa muscolare scheletrica (SMI). Inoltre, questo tipo di programma (APA) applicato al gruppo che svolgeva esercizi di forza, ha migliorato significativamente la forza dell’impugnatura all’handgrip (HGS), un parametro che è ben correlato con la forza delle gambe, la sarcopenia e la funzione fisica.

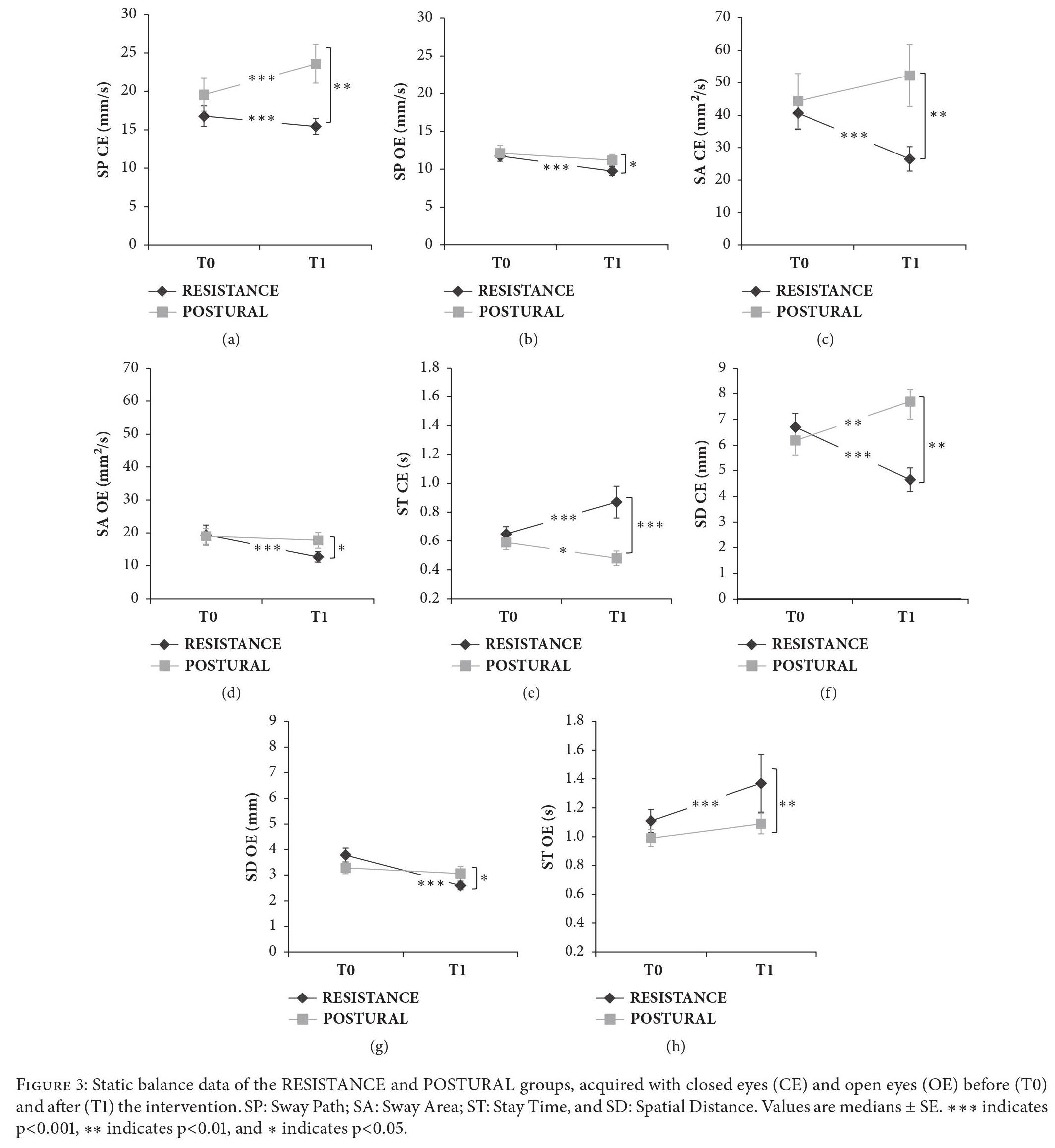
I miglioramenti nella massa muscolare e forza muscolare, sono clinicamente rilevanti perché i partecipanti si sono spostati da una condizione di moderata sarcopenia, a una condizione di normalità, dopo l’intervento di rinforzo muscolare, secondo i criteri utilizzati per diagnosticare la sarcopenia. In questo studio sono stati analizzati gli effetti di un protocollo di rinforzo muscolare nel migliorare i parametri di equilibrio, come Sway Path, Sway Area, Stay Time e Spatial Distance, confrontandoli con dati ottenuti in un altro gruppo di donne anziane con sarcopenia moderata sottoposte a Programma APA incentrato su un allenamento posturale. I risultati hanno mostrato che il programma di rinforzo muscolare, era più vantaggioso dell’intervento posturale, nel migliorare i parametri di equilibrio. Quindi si suggerisce che il miglioramento dei parametri per l’equilibrio statico, può essere ottenuto in modo più efficace con un aumento della forza, che da un allenamento posturale.

Nel complesso, i dati mostrano che, un programma di rinforzo muscolare potrebbe rappresentare un approccio significativo nella riduzione di importanti fattori di rischio per la caduta e per le menomazioni dell’equilibrio, nelle donne con condizione di sarcopenia moderata.
BIBLIOGRAFIA
G. Piastra et al. “Effects of Two Types of 9-Month Adapted Physical Activity Program on Muscle Mass, Muscle Strength, and Balance in Moderate Sarcopenic Older Women” Hindawi BioMed Research International, Volume 2018, Article ID 5095673.
Articolo a cura del Dott. Giuseppe Audino
Laureato in Scienze delle Attività Motorie e Sportive
Laureato Magistrale in Scienze e Tecniche delle Attività Motorie Preventive e Adattate
