La corsa continua, di lunga durata, è una delle attività che si svolgono maggiormente, anche ad intensità vigorosa, con molteplici benefici per la salute. In effetti, la corsa ha un effetto importante sulla salute mentale e fisica, comportando un aumento della speranza di vita di circa 3 anni in media. Però esistono potenziali rischi di lesioni correlate alla corsa di durata. Ogni persona ha un diverso livello di fitness, stile di corsa, distanze percorse e velocità di marcia. Si è visto che, dei soggetti che praticano regolarmente attività di corsa, il 50% dei partecipanti di sesso maschile svolge i 5 km con una velocità media tra 10,1 e 13,0 km / h (da 2,8 a 3,6 metri al secondo), il 25% con una velocità inferiore a 10,1 km / h e il 5% anche inferiore a 8,1 km / h (2,25 metri al secondo). La velocità della corsa a distanza può variare molto in base allo stile di corsa, eccetto per distanze molto lunghe come le maratone, la cui velocità di corsa tende ad essere sempre lenta. Ciò significa che un considerevole numero di corridori, lavora a bassa velocità, inferiore a 10,1 km / h, la quale è tipicamente al di sotto delle velocità analizzate dal punto di vista biomeccanica.
Per distinguere la corsa dalla modalità in cammino (WK), vengono utilizzati 4 criteri:
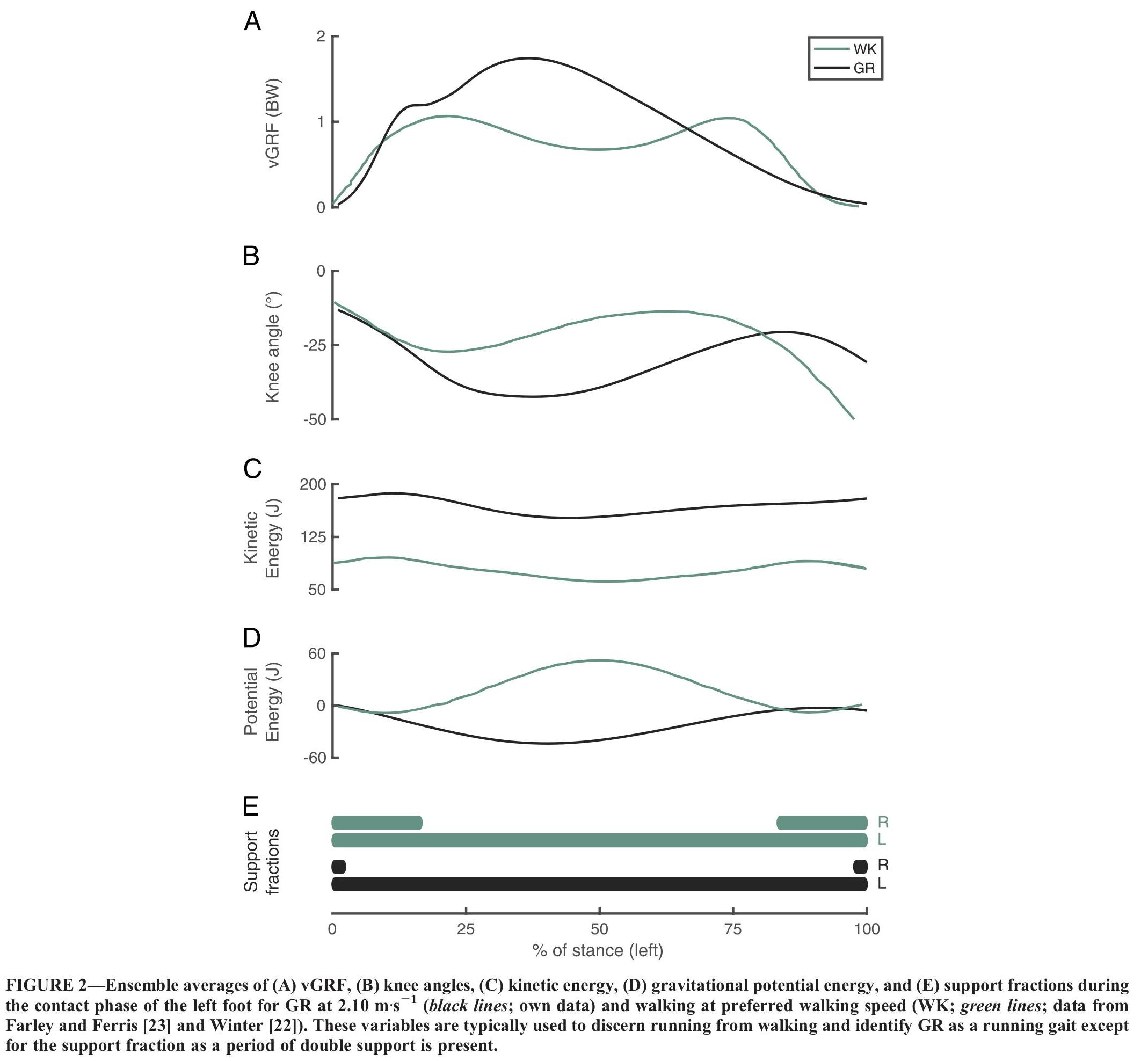
1) La presenza di una fase di volo durante la quale nessuno dei piedi entra in contatto con il terreno.
2) Un modello di forza di reazione al suolo verticale (vGRF).
3) Il piegamento del ginocchio nella fase di midstance,.
4) Fluttuazioni nella cinetica dell’energia e in quella gravitazionale.
Sebbene in generale questi criteri coincidano, nella corsa lenta, spesso manca una fase di volo. Vereecke et al. suggeriscono che per distinguere questa diversa tecnica di corsa, venga usato il termine “corsa a terra” (GR), per identificare questo tipo di locomozione. Recenti osservazioni di Shorten e Pisciotta, hanno quantificato la prevalenza di questa corsa a terra, nelle maratone, rilevando che il 16% di tutti i partecipanti corrono con questa tecnica. Questa osservazione ha anche dimostrato che la corsa a terra (GR) si verifica principalmente quando le persone corrono lentamente. La corsa a terra GR, nonostante l’assenza di una fase di volo, ha una reazione di forza al suolo (GRF), con anche un leggero piegamento delle ginocchia. Rispetto alla corsa con una fase di volo, la corsa a terra, è caratterizzata da carico muscolo-scheletrico, velocità di carico inferiore (VILR) e accelerazioni tibiali (TA), le quali sono delle misure tipiche della corsa, utili per dimostrare l’intensità dell’impatto, registrando anche sforzi a bassa frequenza nella potenza eccentrica nella caviglia e negli estensori del ginocchio. La corsa a terra (GR), dovrebbe essere considerata come una corsa a tutti gli effetti, in quanto è un’andatura simmetrica in cui vi sono tre dei quattro criteri, comunemente usati per distinguere la camminata veloce o la marcia (Tabella 2, Fig. 2).


La modifica dello stile di corsa verso quella a terra (GR) a una velocità di 2,10 metri / s, ha due importanti conseguenze. La prima conseguenza riguarda il carico muscolo-scheletrico, inferiore di circa il 20% per GR, rispetto alla corsa con fase di volo, alla stessa bassa velocità (Tabella 3, Fig. 1). L’intensità dell’impatto al suolo, dipende dalla decelerazione improvvisa. Nella corsa a terra, le parti prossimali degli arti inferiori, subiranno meno la decelerazione, poiché l’impulso vGRF è più piccolo, rispetto al piede (Figura 1). Il momento verticale del piede e della parte inferiore della gamba, al primo contatto, e quindi alla seguente decelerazione, è più piccola, con un impatto minore rispetto alla corsa classica con fase aerea (Tabella 3). Un recente modello di Bertelsen e colleghi, propone che gli infortuni sulla corsa, si verificano quando la capacità di carico muscolo-scheletrico (ovvero la sostenibilità del carico), viene superato da dei sovraccarichi funzionali meccanici specifici sulle strutture esposte.


Rispetto alla corsa classica, l’entità dell’impatto al suolo è minore, mentre la frequenza del passo e la lunghezza del passo non sono alterate, andando potenzialmente a ridurre le lesioni. Stress muscolare e picco di lavori eccentrici degli estensori della caviglia e del ginocchio sono tra il 16,5% e il 34,0% inferiori nella corsa a terra rispetto a quella con fase aerea (Tabella 3). Questo indica che la dinamica della corsa a terra, impegna in maniera minore i muscoli coinvolti nel supporto del peso corporeo e nella propulsione, la quale può essere causa di affaticamento locale in questi muscoli. Tuttavia, potrebbe essere che altri gruppi muscolari possano avere un aumento del carico. Correre con una fase di volo più rapida, riduce la forza esterna di picco ma comporta anche meno tempo per spostare la gamba in avanti. Questo potrebbe aumentare il carico sulle strutture collegate all’oscillazione. Soggetti che praticano corsa, con basse capacità di carico, come le persone in sovrappeso o corridori più anziani, potrebbero trarre beneficio dall’adozione di un modello di corsa a terra, potendo così ridurre il carico e coprire distanze maggiori, riducendo così il rischio di lesioni. Il rallentamento consente ai runner meno allenati di correre per più tempo, in quanto correranno ad una percentuale inferiore della loro massima capacità energetica. La spesa energetica simile, con una riduzione del carico muscolo-scheletrico, porta probabilmente ad un aumento dell’efficacia dell’allenamento. La corsa a terra, nella sua forma moderata / vigorosa, contribuisce al raggiungimento delle raccomandazioni riguardanti l’attività fisica e salute pubblica. Individui con riduzione della capacità estensoria della gamba (ad es. persone obese) e / o con capacità di carico ridotta (ad es. persone con l’artrite del ginocchio), dovrebbero adottare uno stile di corsa a terra, quando si lavora a basse velocità. Il dispendio energetico anche se può essere leggermente più basso nella corsa a terra, può consentire un volume di lavoro maggiore che può compensare la spesa.
Il cambiamento della corsa, a favore di questo modello a terra, diminuisce il sovraccarico muscolo-scheletrico, con una diminuzione del carico d’impatto del 31% al 35% e il carico muscolare del 17% al 34%. Queste grandi riduzioni potrebbero avere implicazioni per la prevenzione degli infortuni, soprattutto in persone obese o inesperte, limitando anche la sensazione di fatica muscolare locale.
Riteniamo inoltre che l’aumento della spesa energetica potrebbe scomparire quando i soggetti si abituano al nuovo stile di corsa, in quanto sperimenteranno l’adattamento al gesto e l’economia della spesa energetica.
BIBLIOGRAFIA
Bonnaerens, S., P. Fiers, S. Galle, P. Aerts, E. C. Frederick, Y. Kaneko, W. Derave, And D. De Clercq “Grounded Running Reduces Musculoskeletal Loading” Med. Sci. Sports Exerc., Vol. 51, No. 4, Pp. 708–715, 2019.
